x+y=D の部分には A パラメーターが伴い、D は等号の両側にさらに乗算されます。 D を乗算する理由は、A パラメーターを脱次元化するためです (プールにトークンが 2 つ、3 つ、またはそれ以上あるかどうかにかかわらず、同じ A 値は同じ妥当性を持ちます)、ここでは説明せず、この説明の焦点ではありません。
Uni V3はその後発売され、2021年3月にホワイトペーパーが公開されました。 Uniチームは、Curve V1が十分に長く走っているのを見てきました。 非常に知的な人々のグループであり、カーブに対抗する方法は自然に上昇することです。 Uniチームは、LPはもはや「大鍋」ではなく、各プールの単一の固定式に従って一律に流動性を供給できないという前提を直接打ち破りました。
Uni V1/V2 xy=kに基づいて、Uni V3は特定の価格帯でのみ流動性を提供する基本的な式(つまり、上記の換算式)を構築します。 Uni V3は、LPの「大鍋ライス」の前提を打ち破りたいと考えており、LPが流動性を提供する価格帯(または複数の範囲)を自由に決定できるようにします。 個々のLPは、それぞれ独立して自由に判断し、各プールのレベルでまとめ、それも式(区分関数)を形成しますが、この式の形状は動的に変化しており、決して以前のAMMの固定された形状パターンではありません(一部のAMMは、Aパラメータを調整するCurve V1など、ガバナンスを通じて形状を調整できます)。
CurveとUniswapの数学的偶然の一致と、それらが異なる目的地への道をどのように分岐させるかを詳細に説明してください。
著者: @observerdq
この記事は長い間知られていました
! CurveとUniswapの数学的偶然の一致を詳細に説明し、どのように異なる目的地に別れたのか?
写真の概要
素晴らしい発見がありました。
2019年、Curve V1がAMM式を構築した際、控除過程に中間パターンの式があり、この式は1年以上経ったUniswap V3の基本式と同じ構造になっています(前者は後者の特殊な形式です)。
全く違う考え方で、数学的な交差点があり、素晴らしいです。
本記事では、Curve V1とUniswap V3の構築プロセスを出発点から整理し、構築プロセスにおいて数学的にどのように通過し、どのように異なる終点に分岐するのかを整理します。
1. 曲線 V1 式
2018年末、Uniswapのxy = kが誕生し、パラダイム革命となりました。 しかし、ステーブルコインの取引ペアの場合、その欠点は重大です。 マイケルはこのエントリーポイントをつかみ、19年末に新しいAMM Curve V1を発売しました。
新しいAMM式の構築プロセスの基礎の1つは、依然としてxy = kです。 将来的には、Curve V1ホワイトペーパーのパラメータは次のようにコード化される予定です。
! CurveとUniswapの数学的偶然の一致を詳細に説明し、どのように異なる目的地に別れたのか?
ほとんどの場合、ステーブルコイン取引ペアの価格は1:1前後の小さな範囲でしか変動せず、1:1の単一の価格ポイントで流動性を提供するための式はx+y = Dであり、これも構築プロセスの基礎です。
Michaelは、2つの基本式を組み合わせるか、xy = (D/2)²の上にx+y = Dを導入したいと考えていました。
そこで、2つの基本式「ハイブリダイゼーション」を足して、混練式を得ました。
! CurveとUniswapの数学的偶然の一致を詳細に説明し、どのように異なる目的地に別れたのか?
x+y=D の部分には A パラメーターが伴い、D は等号の両側にさらに乗算されます。 D を乗算する理由は、A パラメーターを脱次元化するためです (プールにトークンが 2 つ、3 つ、またはそれ以上あるかどうかにかかわらず、同じ A 値は同じ妥当性を持ちます)、ここでは説明せず、この説明の焦点ではありません。
焦点はAパラメータにあります。 まず、Curve V1のホワイトペーパーでは、混練式にAの代わりにギリシャ文字のChi(xのように見えます)を使用しています。 書き方の利便性と読書体験のために、談話に影響を与えないAに切り替えました。
! CurveとUniswapの数学的偶然の一致を詳細に説明し、どのように異なる目的地に別れたのか?
パラメータAの役割は、黒、グレー、白のカラーバーに類推することで理解でき、90%のグレーは黒と非常によく似ており、10%のグレーは白に近いです。 A パラメーターは、最終的な数式の積が x+y=D に近いか、xy=(D/2)² に近いかを決定します。
限界Aの値から、この混練プロセスをよりよく理解することができます。 A = 0 の場合、混練式は xy=(D/2)² になります。 A = 無限大であり、混練式は x+y=D になります。 したがって、Aはその中にあり、これは中間状態であり、Aが大きいほど、x + y = Dのようになります。 こういう捏ね具合はグラフィックを通してより直感的に感じられますし、気になる方はDesmos²のAで遊んでみるのもいいですね。
Curve V1については、ここで一旦停止して、この練り込み式を念頭に置いておきましょう。 それでは、Uniswap V3に移りましょう。
2. Uniswap V3の公式の思考経路
Uni V1/V2のxy = kが世界を席巻した後、「0から無限大までの全価格帯に均等に分配された流動性」がもたらす欠点がますます明らかになり、Curve V1の発売により、ステーブルコイン取引の重要な市場が直接的かつ正確に遮断されました。
V3を設計する際、Uniswapチームはまず、有限の連続価格帯内でのみ流動性を提供する式を構築したいと考えていましたが、その構築の出発点は依然としてxy=kでした。
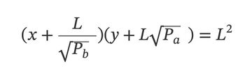
[Pa, Pb] の価格帯 (例: [0.99, 1.01] や [1500, 1700] など) で効果を達成したい場合、数式は Uni V1/V2 の xy = k とまったく同じようにトランザクションをサポートしますが、価格が [Pa, Pb] を超えると流動性が提供されないとします。
この効果の計算式は次のとおりです。
! CurveとUniswapの数学的偶然の一致を詳細に説明し、どのように異なる目的地に別れたのか?
図を使用してそれを提示すると、xy = kがいくつかの位置で左下にシフトしていることが非常に明確になります。 移動させる具体的な量は、PaとPbで決まる。
! CurveとUniswapの数学的偶然の一致を詳細に説明し、どのように異なる目的地に別れたのか?
この式によって達成される効果は、すべての流動性が[Pa、Pb]に集中し、LPが一定量のX_tokenとY_tokenを預けて、[Pa、Pb]価格範囲内にある程度の流動性を提供することです。 この部分的な流動性効果だけでも、Uni V2のLPがそれを達成したい場合、LPはより多くのX_tokenとY_tokenを預ける必要があります。 より多くなる度合いは、Pa、Pbに依存し、多くする必要があるかもしれません。
この翻訳式は、Uni V3 をさらに構築するための基本的な公式であり、Uni V3 では当面それについて説明します。
3. ファンタスティック・パッシング - 2つの思考経路の交差点
セクション1の曲線V1の混練式をいくつかの変換で変換します。
! CurveとUniswapの数学的偶然の一致を詳細に説明し、どのように異なる目的地に別れたのか?
セクション 2 の Uni V3 の変換式と合わせて見ると、この 2 つが非常に似ていることがわかります。
! CurveとUniswapの数学的偶然の一致を詳細に説明し、どのように異なる目的地に別れたのか?
Uni V3の換算式でPaとPbに制限を設けると、Pb=1/Paとなるように、つまり価格帯は[0.5, 2]や[0.01, 100]のような範囲に制限され、1:1の価格ポイントの両側の倍数という意味で対称性を満たします。
この資格を取得した後、2つの式はまったく同じであると言えます。
! CurveとUniswapの数学的偶然の一致を詳細に説明し、どのように異なる目的地に別れたのか?
2 つの式には異なるパラメーター式があり、2 つのパラメーター セット間の関係を簡単に導き出すことができます。 曲線V1式のパラメータAとDに基づいて、LとPaを次のように計算できます。
! CurveとUniswapの数学的偶然の一致を詳細に説明し、どのように異なる目的地に別れたのか?
これらのパラメータの重要性は、2つのプロトコルの思考経路に関連しており、2つのパラメータセット間の関係と組み合わせて、2つの構築プロセスを簡単にレビューします。
簡単にするために、ステーブルコイン取引ペアのプールの初期価格が1:1であるとします。 カーブV1のニーディング式のDは、最初のLPによって投資された2つのステーブルコインのそれぞれのD/2の量を表します。 A は、混練式が x+y=D にどれだけ近いかを表します。
Uni側では、次の式を満たすUni V2ステーブルコイン取引ペアの仮想プールを作成します。
! CurveとUniswapの数学的偶然の一致を詳細に説明し、どのように異なる目的地に別れたのか?
つまり、初期価格が1:1の場合、初期LPは2つのステーブルコインのそれぞれにD(2A+1)/2を投資する必要があります。
現時点では、以下の価格帯でのみ流動性を提供すると予想されるUni V3プールがあります。
! CurveとUniswapの数学的偶然の一致を詳細に説明し、どのように異なる目的地に別れたのか?
そして、この間隔での流動性効果は、仮想のUni V2プールとまったく同じです。 この効果を満たす Uni V3 プールの式は、前述の曲線 V1 の式とまったく同じです。
簡単に要約すると、Curve V1が組み合わせによって達成する効果は、最初にUni V2プールをはるかに大きなトークンリザーブ(2A倍以上)で仮想化し、次に[(2A/(2A+1))²、((2A+1)/2A)²]価格帯でこのUni V2プールとまったく同じ流動性効果を達成するのとまったく同じです。
4. 別れ方 - 2つの思考経路の異なる終点
曲線 V1 混練式は、Uni V3 変換式の特殊な形式です。 実際、Curve V1 混練式に別のパラメータを追加し、x+y の部分を x+py に調整すると、この 2 つは完全に同等になるので、ここでは詳しく説明しません。
曲線V1は数式の組み合わせに基づいており、Uni V3は翻訳式に基づいており、元の思考経路に従い、前進と別れを続けています。
4.1 Curve V1: さらなる動的グラデーションブレンディング
限られた価格帯でしか流動性を提供しないCurve V1ブレンディングフォーミュラには欠陥があり、Michaelは価格帯全体で流動性を持つフォーミュラを必要としています。 (なぜこれが求められているのか? おそらく、オラクルを外部に提供するという意味で、すべての価格帯で流動性を持つことは自然でより完全です。 )
このようにして、この程度の混練をダイナミックにするという、さらなる構築の彼のアイデアを理解することができます。 先ほどの混練式におけるAは、均一な混練度を表す定数である。 さて、さらに、xがD/2から大きく乖離する(xが小さい、または大きい)場合、または価格が1:1から大きく乖離する場合、混練度はxy=(D/2)²に偏り、xまたは価格が限界状態に乖離すると、単純にxy=(D/2)²となり、すべての価格帯に流動性が存在することになります。
Michael は A を Axy/(D/2)² に変えました。
! CurveとUniswapの数学的偶然の一致を詳細に説明し、どのように異なる目的地に別れたのか?
これにより、上記の動的グラデーション効果が可能になります。 もちろん、この工法はこれに限ったことではなく、Michaelは施工プロセスのこのステップで異なる動的勾配実装方法の違いについて非常に詳細な比較研究をしていないような気がします。
最後に、曲線V1の最終的なパターン式は次のように得られます。
! CurveとUniswapの数学的偶然の一致を詳細に説明し、どのように異なる目的地に別れたのか?
4.2 Uni V3: 統一された単一数式を放棄し、区分関数を自由に組み合わせる
Uni V3 変換式の核となる意味合いは、[Pa, Pb] の価格帯にあります。 この変換式を基礎として、Uni V3 が一方向に進むのは当然のことです。 流動性は、異なる価格帯で異なる可能性があります(異なる価格帯の流動性が同じ場合、Uni V2に戻ります)。
この一般的な方向では、まだ異なる設計フォークがあります。 分岐した道、プロトコルは異なる価格帯の流動性配分ルールを決定することができ、LPは依然として均質であり、実際、カーブV1はこのタイプと見なすことができます(価格帯の制限は小さいです)。
一方、すべての決定はLPに委ねられ、LPの独立した決定は、最終的な流動性がさまざまな価格帯でどのように分配されるかを共同で決定します。
Uni V3は、価格判断、ボラティリティ判断、運の要素など、市場ゲーム全体の要素を大幅に豊かにし、流動性市場を完全に競争力のある市場に一歩近づける非常に重要な後者を選択しました。
数学的な観点から見ると、Uni V3 のさらなる構築は、型破りな区分関数のように見えます。 異なる価格帯は異なるL値に対応し、それらは次のミニマリストの例のように異なる式になります。
! CurveとUniswapの数学的偶然の一致を詳細に説明し、どのように異なる目的地に別れたのか?
実際、上記は標準の区分関数、つまりサブドメインはxで定義され、サブ関数はyとxの式であり、この記事では展開しません。
5. エピローグ
Curve V1は、ステーブルコイン取引ペアをより適切にサポートし、市場のギャップを埋めることを主な目的として、2019年末に発売されました。 おそらくこれが、1:1の価格帯で対称的な構造に焦点を当て、流動性が1:1の価格帯に比較的集中するMichaelの考え方を決定しているのでしょう。 Michaelがx+y=Dとxy=(D/2)²を混成して混練式を導出したとき、私の意見では、混練式が上記の対称性、クラスタリング特性を満たしていたため、最も中心的で画期的な研究が行われました。 ニーディングの公式を、価格帯全体の流動性をサポートする公式に持っていくことは、マイケルにとってちょっとした仕上げになるかもしれません。
Uni V3はその後発売され、2021年3月にホワイトペーパーが公開されました。 Uniチームは、Curve V1が十分に長く走っているのを見てきました。 非常に知的な人々のグループであり、カーブに対抗する方法は自然に上昇することです。 Uniチームは、LPはもはや「大鍋」ではなく、各プールの単一の固定式に従って一律に流動性を供給できないという前提を直接打ち破りました。
Uni V1/V2 xy=kに基づいて、Uni V3は特定の価格帯でのみ流動性を提供する基本的な式(つまり、上記の換算式)を構築します。 Uni V3は、LPの「大鍋ライス」の前提を打ち破りたいと考えており、LPが流動性を提供する価格帯(または複数の範囲)を自由に決定できるようにします。 個々のLPは、それぞれ独立して自由に判断し、各プールのレベルでまとめ、それも式(区分関数)を形成しますが、この式の形状は動的に変化しており、決して以前のAMMの固定された形状パターンではありません(一部のAMMは、Aパラメータを調整するCurve V1など、ガバナンスを通じて形状を調整できます)。
この設計は、ステーブルコイン取引ペアシナリオ(Curve V1)におけるUni V2の資本効率の低さの問題を解決するだけでなく、すべての取引ペアシナリオでより適切な競争を導入し、市場全体の資本効率レベルを向上させます。
歴史的背景や根本的な出発点の違いをくまなく調べてみて、私が最初にため息をついた曲線V1の混練式とUni V3の翻訳式の類似性を見ると、それは言及する価値のない単なる数学的偶然の一致であるように思われます。
注:この記事は個人的な見解であり、投資アドバイスを構成するものではありません