1.Description of the ADXcloud Strategy
Indicator Introduction:
RSI Relative Strength Index, which is the same as the traditional RSI.
ADX cloud (ADXcloud)
By secondary smoothing on traditional ADX, the indicator has three parameters as follows:
Alpha1 First smoothing weight coefficient
Alpha2 #Second smoothing weight coefficient
Period ADXcloud period
adx_t ADX period
rsi_t RSI period
rsi_treshold RSI threshold of opening a position
rsi_close_t RSI threshold of closing a position
Specific calculations include: positive price movement distance (+DM), price negative movement distance (-DM), true volatility (TR), positive directional index (+DI), negative directional index (-DI) and many other intermediate variables
(1) Calculate the trend change
Up: Today's Highest price - Yesterday's Highest price
Down: yesterday's lowest price - today's lowest price
+DM: if up is greater than max(down, 0), +DM will be up, otherwise be zero.
-DM: if down is greater than max(up, 0), -DM will be down, otherwise be zero.
(2) Calculate the true volatility
TR: max (the difference between today's highest price and today's lowest price, the absolute value between today's highest price and yesterday's closing price, the absolute value of the difference between today's lowest price and yesterday's closing price)
+DI(14):+DM(14)/TR(14)100
-DI(14):-DM(14)/TR(14)100
(3) Calculate the trend index
+DI(14): +DM(14)/TR(14)100
-DI(14): -DM(14)/TR(14)100
The 14 in parentheses is the period parameter in the indicator input, which Indicates to calculate the movement indicator in how many units of time.
Diplust = 2 × ( + DIt) + (alpha1 − 2) × ( + DIt−1) + (1 − alpha1) × Diplust−1
Diminust = 2 × ( − DIt) + (alpha1 − 2) × ( − DIt−1) + (1 − alpha1) × Diminust−1
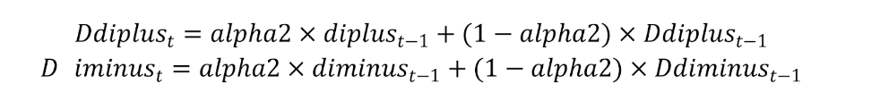
(4) Calculate the trend indicator after smoothing
First smoothing:
Diplust = 2 × ( + DIt) + (alpha1 − 2) × ( + DIt−1) + (1 − alpha1) × Diplust−1
Diminust = 2 × ( − DIt) + (alpha1 − 2) × ( − DIt−1) + (1 − alpha1) × Diminust−1
Alpha1 is the weight coefficient of the first smoothing
Second smoothing:

Alpha2 is the weight coefficient of the second smoothing
(5) Calculate ADXcloud
Conditions of Opening A Position:
(1) Conditions for opening a long position: open a position when ADXcloud>0 and RSI>50+.
(2) Conditions for opening a short position: open a position when ADXcloud<0 and RSI<50+.
Conditions of Closing A Position:
(1) Conditions for closing a long position: when RSI>50+rsi_close_t or when ADXcloud turns from positive to negative, long positions are closed.
(2) Conditions for closing a short position: when RSI<50-rsi_close_t or ADXcloud turns from negative to positive, short positions are closed.
2. How to enter ADXcloud Trading?
Click on the "Navigation Bar" - "Copy Trading" - Select "Strategies Templates - Perps" in "Create A New Strategy" - scroll down to "CTA Signal Tracing" - Select "Perpetual Contract ATR" - Click "Create Strategy" - Select "Settlement Method" and "Trading Pair" - "Parameters Setup" - Click "Create", as shown in the following figure:


Backtest: backtesting can be done before creating an ADXcloud strategy.

Backtest process: Click the "Backtest" button in the above figure, fill in the expected parameters in the column, then click "Backtest" below. The system will automatically backtest the data (within one month by default), and click "Create" in the "Select ADXcloud Strategy (Perpetual Contract) - Fill in the corresponding parameters, click the “Create”button to create "Backtest Records" to generate a backtest data for reference.
3. Description of Parameters Setup

Leverage: The leverage multiple used by the users in investment, which is mainly used to calculate the number of orders placed.
Total investment: the total amount of the user's investment, all used for the user's deposit.
Auto Stop-Loss Ratio: When the loss of the user's total investment amount reaches this ratio, the strategy will close a position and exit.
ADX smoothing coefficient 1: required, which should be integer, with an input range of [1,99], 20 by default
ADX smoothing coefficient 2: required,which should be integer, with an input range of [1,99], 17 by default
ATR Period: required, which should be integer, with an input range of [3,50], 14 by default
RSI Period: required, which should be integer, with an input range of [3,50], 8 by default
RSI threshold of opening a position:which should be integer, with an input range of [1,25], 5 by default
RSI threshold of closing a position:which should be integer, with an input range of [1,20], 25 by default. RSI threshold of closing a position entered should be > RSI threshold of opening a position.
Period: Standard MA parameter, which should be required, with 1 minute, 5 minutes, 15 minutes, 30 minutes, 1 hour, 4 hours, 8 hours, 1 day available to be selected, 1 hour by default
Number of orders : the number of orders placed by the strategy after the signal is triggered, which is optional and blank by default.
Contract default fee: 0.00075
Reverse Contract:
s = (Deposit * Latest Price) / (2* 0.00075 + (1/Leverage)) size = s / Size per contract
Positive Contract:
s = (Deposit) / (2*0.00075 + (1/Leverage)) * Latest Price Size = s / Size per Contract
The actual number of orders placed by the user will take the minimum value between the calculated value by default and the value that the user has set.
Gate reserves the final right to interpret the product.
Disclaimer
The content provided herein is for reference and educational purposes only and does not constitute any financial, investment, trading, or legal advice, nor does it constitute an offer or solicitation to buy or sell any digital assets. Gate makes no express or implied representations or warranties regarding the accuracy, completeness, or timeliness of the information contained herein. Product features, interfaces, rules, and fee structures may be updated or adjusted at any time. Please refer to the latest announcements and the actual information displayed on the Gate platform for the most accurate details.
Digital asset investments involve significant risk, and prices may fluctuate substantially. You may lose the entire amount of your investment. Please make decisions cautiously based on your own financial situation and risk tolerance after fully understanding the associated risks. If necessary, you are advised to consult an independent professional financial or legal advisor.
For more information about potential risks, please refer to Gate's Risk Disclosure and User Agreement.
